Проверка устойчивости вагона с грузом и груза в вагоне

Транспорт » Размещение и крепление грузов, перевозимых на открытом подвижном составе » Проверка устойчивости вагона с грузом и груза в вагоне

Страница 1

Выполнить расчет устойчивости вагона, используя п. 10.4 главы 1 ТУ по размещению и креплению грузов в вагонах и контейнерах [5].

Проверка устойчивости вагона с грузом

Поперечная устойчивость груженого вагона проверяется в случаях, когда высота центра масс вагона с грузом (H°цт) от уровня головок рельса (УГР) превышает 2300 мм либо наветренная поверхность вагона (Sв) с грузом (Sп) превышает, например, при опирании груза на один вагон - 50 м2, Т.е. когда имеет мссто неравенство: H0цт>2300мм, или Sп+Sв>50м2, где Sв - площадь наветренной поверхности вагона, м2 (для платформы с закрытыми бортами 12 м2, а с открытыми бортами 7м2; для полувагона с объемом кузова 76м3 - 34м2, а с объемом кузова 83м3 - 37м2).

В случае, если Н°цт < 2300 мм или Sп+Sв < 50 м2, то поперечная устойчивость груженого вагона не проверяется.

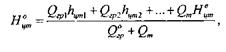
Высота общего центра масс вагона с грузом в мм определяется по формуле (рис. 7.1) [(19), ТУ]

где hцт1, hцт2, . hцтn - высоты ЦТ единиц груза от УГР, мм;

Hвцт - высоты ЦТ порожнего вагона от УГР, мм (для платформы 800 мм, а для полувагона 1130 мм);

QT - вес тары вагона, тс (например, для платформы 22 тс).

Если имеет место неравенства H0цт > 2300 мм, или Sп+Sв> 50 м2, то поперечная устойчивость вагона с грузом обеспечивается, если удовлетворяется условие [(20), ТУ]

где (Рц+Рв) - дополнительная вертикальная нагрузка на колесо от действия центробежных сил и ветровой нагрузки, тс; Рст- статическая нагрузка от колеса на рельс, тс.

Статическая нагрузка в тс определяется по следующим формулам:

• при расположении ЦТгр на пересечении продольной и поперечной плоскостей симметрии вагона: [(21), ТУ]

где пк - число колес грузонесущего вагона, шт.;

• при смещении ЦТгр только поперек вагона: [(22), ТУ]

где S - половина расстояния между кругами катания колесной пары вагона колеи 1520 мм (S=790 мм), мм;

• при смещении ЦТгр только вдоль вагона (для менее нагруженной тележки): [(23), ТУ]

• при одновременном смещении ЦТгр только вдоль и поперек вагона (для менее нагруженной тележки): [(24), ТУ]

Дополнительная вертикальная нагрузка на колесо от действия центробежных сил и ветровой нагрузки определяется по формуле: [(25), ТУ]

где Wп - ветровая нагрузка, действующая на части груза, выступающие за пределы кузова вагона, тс (см. формулу (10) ТУ);

h - высота точки приложения ветровой нагрузки над УГР, мм; р - коэффициент, учитывающий ветровую нагрузку на кузов и тележки грузонесущих вагонов и поперечное смещение ЦТгр за счет деформации рессор (по табл. 18 ТУ - для платформы р = 3.34 и для полувагона р = 5.61).

Проверка устойчивости груза в вагоне

Устойчивость груза в вагоне проверяется по величине коэффициента запаса устойчивости не закрепленного в вагоне груза по формулам (как отношение удерживающего момента к опрокидывающему моменту): [(26), ТУ]

• в направлении вдоль вагона –

где l0пр - кратчайшее расстояние от проекции ЦТгр груза на горизонтальную плоскость до ребра опрокидывания вдоль вагона, мм (рис.7.2);

hцт - высота ЦТгр груза над полом вагона или плоскости подкладок, мм;

hпру - высота продольного упора от пола вагона или плоскости подкладок, мм;

• в направлении поперёк вагона – [(27),ТУ]

где b0п - кратчайшее расстояние от проекции ЦТгр груза на горизонтальную плоскость до ребра опрокидывания поперек вагона, мм (рис.7.2);

hпнп - высота центра проекции боковой поверхности груза от пола вагона или плоскости подкладок, мм;

hпу - высота поперечного упора от пола вагона или плоскости подкладок, мм.

Груз является устойчивым и не требует дополнительного закрепления от опрокидывания, если при упругом креплении груза ηпр и ηп не менее 1.25, Т.е. ηпр > 1.25 и ηп > 1.25, а при жестком креплении ηпр (и ηп) = 2.

Страницы: 1 2

Навигация

Copyright © 2026 - All Rights Reserved - www.transportpath.ru